南阳高新技术产业开发区人民检察院办公用房租赁项目单一来源采购论证公示
2026-02-12
河南/南阳 招标采购
南阳高新技术产业开发区人民检察院办公用房租赁项目单一来源采购论证公示
河南/南阳-2026-02-12 00:00:00
公告内容文档
河南/南阳-2026-02-12 00:00:00
南阳高新技术产业开发区人民检察院办公用房租赁项目单一来源采购论证公示
发布机构:河南景祥工程管理有限公司
发布日期:********** **:**
访问次数:*****
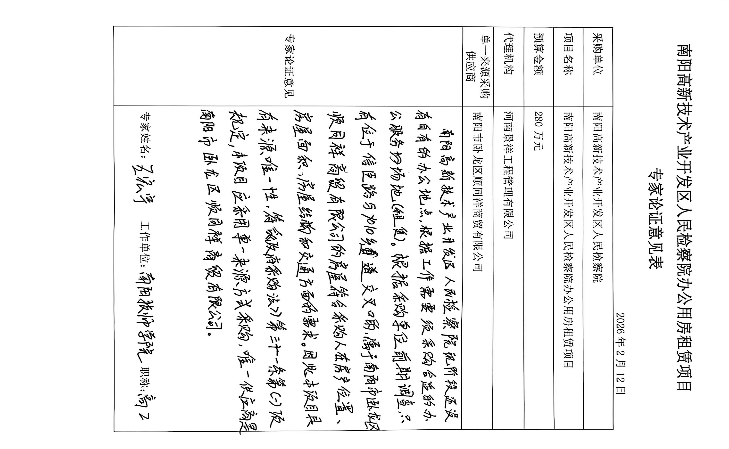
| 一、项目信息 | ||||||||||||||||
| *.项目名称:南阳高新技术产业开发区人民检察院办公用房租赁项目 | ||||||||||||||||
| *.拟采购的货物或服务的说明 | ||||||||||||||||
| 采购内容:办公用房租赁 租赁期限:一年 | ||||||||||||||||
| *.拟采购的货物或服务的预算金额:*******元 | ||||||||||||||||
| *.单一来源原因及相关说明 | ||||||||||||||||
| 南阳高新技术产业开发区人民检察院无自有办公地点,经市场调研及考察,位于南阳城乡一体化示范区,信臣东路与****乡道交叉口处房源交通便捷、房屋结构布局类型、房屋面积、使用功能等是唯一能满足租赁需求的,该房产为南阳市卧龙区顺同祥商贸有限公司单独所有。根据《中华人民共和国政府采购法》第三十一条相关规定,本项目符合单一来源采购规定,拟采用单一来源采购方式。 | ||||||||||||||||
| 二、拟定供应商信息 | ||||||||||||||||
| *.名称:南阳市卧龙区顺同祥商贸有限公司 | ||||||||||||||||
| *.地址:南阳市独山大道盛唐商务苑*幢*楼***室 | ||||||||||||||||
| 三、专家论证意见(不少于三名行业技术专家) | ||||||||||||||||
|
||||||||||||||||
| 四、公示期限 | ||||||||||||||||
| ****年**月**日**时**分至****年**月**日**时**分(北京时间,法定节假日除外。) | ||||||||||||||||
| 五、异议反馈时限 | ||||||||||||||||
| ****年**月**日**时**分至****年**月**日**时**分 | ||||||||||||||||
| 六、其他需要公示内容 | ||||||||||||||||
| 任何供应商、单位或个人对采用单一来源方式有异议的,请于异议反馈时限内以实名书面(包括联系人、地址、联系电话,单位须加盖公章)形式将意见反馈至采购人、采购代理机构,逾期不予受理。 | ||||||||||||||||
| 七、联系方式 | ||||||||||||||||
| *. 采购人信息 | ||||||||||||||||
| 名称:南阳高新技术产业开发区人民检察院 | ||||||||||||||||
| 地址:河南省南阳市宛城区信臣东路与****乡道交叉口东北角 | ||||||||||||||||
| 联系人:宋先生 | ||||||||||||||||
| 联系方式:************* | ||||||||||||||||
| *.财政部门信息 | ||||||||||||||||
| 名称:/ | ||||||||||||||||
| 地址:/ | ||||||||||||||||
| 联系人:/ | ||||||||||||||||
| 联系方式:/ | ||||||||||||||||
| *.采购代理机构信息 | ||||||||||||||||
| 名称:河南景祥工程管理有限公司 | ||||||||||||||||
| 地址:南阳市卧龙区卧龙街道雪枫路明伦现代城********室 | ||||||||||||||||
| 联系人:刘海燕 | ||||||||||||||||
| 联系方式:*********** |



