鹤庆北衙矿业有限公司****年度丁基黄药采购招标公告
一、招标条件
云南招标股份有限公司受鹤庆北衙矿业有限公司(招标人)的委托,对鹤庆北衙矿业有限公司****年度丁基黄药采购【招标编号:***************】采用公开招标方式进行招标采购,欢迎具有相应资格和能力的潜在投标人参加本项目投标。
二、招标范围与项目概况
*.*招标内容:
|
产品名称
|
规格要求
|
预估数量
|
包装规格
|
包装材质
|
特殊要求
|
|
丁基钠黄药
|
丁基钠黄药≥**.*%;游离碱≤*.*%;水及挥发物≤*%
|
***吨
|
*****/袋
|
内塑外编袋
|
防潮、密封
|
详细技术要求详见“第五章 技术要求”。
★注:*、投标人需对本项目所有内容进行整体报价响应,不得缺项漏项,否则按不实质性响应招标文件要求处理。
*、报价包含到厂交货价、一切税费、包装费、运输保险费、运杂费、吊装费、以及提供的技术服务费用等全部费用。
*.*调价机制:
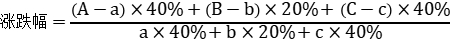
丁基钠黄药:主要原材料按正(异)丁醇占比**%、氢氧化钠占比**%、二硫化碳占比**%计算,其中默认正丁醇、异丁醇两种价格低者为主要原料,原材料价格分别参照“卓创资讯网*价格中心*正(异)丁醇/片碱”、“卓创资讯网*资讯*二硫化碳”,以开标当月平均价格和结算当月平均价格来计算涨跌幅,涨跌幅在*%以内,价格按中标价执行,涨跌幅超过*%部分重新计算结算价。
丁基黄药涨跌幅计算公式如下:

*指正(异)丁醇开标当月平均价格;*指片碱开标当月平均价格;*指二硫化碳开标当月平均价格;
*指正(异)丁醇结算当月平均价格;*指片碱结算当月平均价格;*指二硫化碳结算当月平均价格。
当价格涨跌幅超过*%时,结算价=中标价格×(*±(|涨跌幅|**%)),保留两位小数。
*.*合同期限:本合同自双方签字盖章之日起生效,本合同有效期为壹年,自开始供货之日起计算。若有效期届满时,本合同约定的采购总量尚未全部交付并验收合格,则本合同有效期自动延长至全部采购量供应完毕、且双方所有款项结清之日止。
*.*交货时间:按订单分批交货,买方发出书面通知日起**日内完成交货。
*.*交货地点:鹤庆北衙矿业有限公司。
*.*交货方式:用户板车交货。
三、投标人资格要求
*.*投标人必须是经国家工商行政管理部门登记注册,能够独立承担民事责任的独立法人。
*.*投标产品符合行业标准,生产单位需具备产品生产许可证等相关资质证明;代理商或经销商需提供代理授权委托书或相关代理经销证明材料。
*.*具有良好的商业信誉:投标人近三年在经营活动中没有重大违法记录,没有处于被责令停业,竞标资格被暂停或取消,财产被接管、破产等状态(提供承诺书)。
*.*信用要求:(*)投标人在“国家企业信用信息公示系统”(*****://***.****.***.**)中未被列入经营异常名录和严重违法失信企业名单(黑名单);(*)投标人在“信用中国”网站(*****://***.***********.***.**)中未被列入失信被执行人名单(以上查询均以招标人或招标代理机构查询结果为准)。
*.*与招标人存在利害关系可能影响招标公正性的法人、其他组织或者个人,不得参加投标;单位负责人为同一人或者存在控股、管理关系的不同单位不得同时参加投标。
*.*本项目不接受联合体投标。
*.*投标人同意在项目中标后配合招标人对投标人开展尽职调查工作,全力配合招标人及招标人委托的第三方专业机构对投标人开展包括但不限于提供相关材料等工作,具体根据招标人及第三方专业机构要求开展。
四、招标文件的获取
*.* 本项目通过云采招阳电子招采交易平台(网址:*****://***.******.***,以下简称云采招阳)进行全流程电子化招投标,有意参加并符合条件的投标人,需于****年**月**日至****年**月**日**时**分(北京时间)前登录平台针对本项目报名。在线报名窗口内需同时上传如下报名资料加盖公章的扫描件至项目负责人端进行审核:①营业执照副本复印件,②法定代表人授权委托书。
*.*符合条件的投标人按照以下步骤进行在线报名:①、尚未注册成为平台用户的,需在平台官网进行免费注册并提交企业认证。②、企业认证通过后进入用户后台选择“在线报名*项目列表”菜单,于项目列表中查询到目标项目即可进行在线报名。
*.* 确认报名后进入项目跟踪详情,待报名资料审核通过,此时缴费信息如未发布请耐心等待,如已发布即可根据页面显示的费用进行支付。若文件费缴费方式为上传凭证的,投标人应单独在线支付平台服务费,再上传文件费的缴费凭证提交审核;若文件费缴纳方式为在线支付的,则点击支付按钮按文件费与平台服务费合并的总金额进行在线支付。
缴费完成后,可在当前页面费用表内分别申请平台服务费和文件费开票,申请文件费开票前请先联系代理机构确认开票形式(电子票还是纸质票),以便在申请开票窗口内选择合适的领取方式。
*.* 费用缴纳完成后,可进入下一环节【招标文件下载】,如招标文件下载列表内已有待下载文件,即可点击下载,如下载页暂无待下载文件,请耐心等待或咨询代理机构项目负责人。
*.* 全流程电子投标需用到有效期足够至本项目开标日期的****(云采招阳办理)、或云南**(云南省各公共资源交易中心办理)进行软件版投标文件的电子签章和加解密。
如您已有上述任何一种**则无需再办理**。如没有上述任何一种**,可在用户后台按以下流程在线申办****:
①、于用户后台左侧导航菜单点击“**申办和投标订单→**在线申办”,进入右侧页面点击【自助申办】按钮→选择【新办**锁】,下载办理资料模板后,点击窗口下方的【下一步】按钮。
备注:如您已在云采招阳办理过包年**,但即将到期或已过期,可在自助申办窗口内选择【**锁续期】,根据页面提示进行后续办理。
②、确认订单信息无误后,点击窗口下方的【确认付款】按钮,用支付宝或微信扫码完成支付。
③、**费用支付成功后将进入下一步办理资料上传页面,如实填写、上传资料后提交至平台客服端审核,客服审核通过后将进行后续**锁的制作和寄送工作。
*.* 相关投标流程指南请详见平台网站【帮助中心】页面的“投标人端常见问题”和“短视频教程”。**办理及平台操作问题咨询平台客服(客服电话详见平台各操作界面右上角),投标项目业务问题请咨询代理机构项目负责人。
*.* 招标文件费用在平台报名资料审核通过后,采用对公电汇方式进行缴纳。
在汇款时应注明本项目招标编号,缴费成功后于云采招阳后台已报名项目跟踪详情内【报名信息及缴费】环节上传转账凭证提交审核。文件费收款信息如下:
开户户名:云南招标股份有限公司
开户银行:富滇银行股份有限公司昆明科技支行
开户账户:************
招标文件每份售价人民币***.**元/份,售后不退。投标人须按上述方式、流程办理完成后才算有效报名,否则视为其投标无效。
五、投标文件的递交
*.*递交时间:投标文件递交的截止时间(投标截止时间)为****年**月**日**:**。
*.*递交方式(电子加密文件)
网上递交:投标人须在投标截止时间前通过云采招阳平台完成加密版电子投标文件的上传,投标截止时间前未完成投标文件上传或开标时因投标人原因造成投标文件未解密的,视为撤回其投标文件。
注:电子投标文件编制操作详见“第七章 加密版电子投标文件编制及上传”,技术支持电话:*************。
六、开标时间及地点
*.*开标方式:线上远程开标。
*.*开标时间:****年**月**日**:**。
*.*开标地点:云南招标股份有限公司(昆明市人民西路***号)。由于本项目采用云采招阳平台进行在线开标,故投标人无需到开标现场,在各自公司的办公电脑上在线操作即可完成投标文件解密并参与开标过程。
七、招标公告发布媒介
本项目招标公告在“中国招标投标公共服务平台(***.*************.***)”、“云采招阳电子招采交易平台(***.******.***)”、“云南招标股份有限公司门户网站(***.*****.***)”发布。
八、联系方式
招标人:鹤庆北衙矿业有限公司
联系人:云南黄金矿业集团股份有限公司营销部 *************
招标代理机构:云南招标股份有限公司
联 系 人:符晓芳、张磊、龙翔、李晶、张志超、毛东东、曹慕蓉、鹿雯、姚玲波、雷海生
联系电话:*************、********
地 址:云南省昆明市人民西路***号(人民西路与西园路交叉口)