四川/成都-2025-11-13 00:00:00
川采协〔****〕**号
根据《自然资源部关于印发矿业权出让交易规则的通知》(自然资规〔****〕*号)、《自然资源部关于深化矿产资源管理改革若干事项的意见》(自然资规〔****〕*号)等有关规定,现将四川川煤华荣能源有限责任公司所属四川川煤石洞沟煤业有限责任公司深部煤炭资源采矿权协议出让有关事项公示如下:
一、出让人
名称:四川省自然资源厅
场所:成都市青羊区百卉路*号
二、受让人
名称:四川川煤华荣能源有限责任公司
场所:攀枝花市西区徐家渡村
统一社会信用代码:******************
三、出让采矿权基本情况
矿山名称:四川川煤石洞沟煤业有限责任公司
开采矿种:*****煤
开采规模:*****;**万吨/年
地理位置:四川省广元市旺苍县
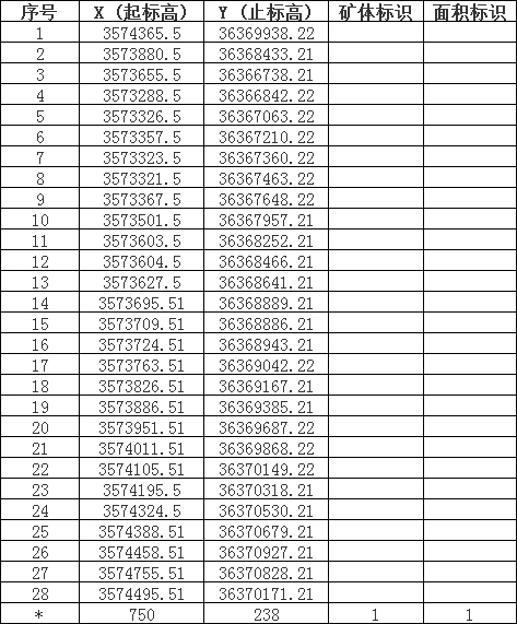
面积:*.******平方千米,拐点坐标如下(****国家大地坐标):

开采标高:*****;***.*米至***.*米
四、符合协议出让规定的情形及理由
符合协议出让规定的情形:基于矿山安全生产和资源合理开发利用等考虑,已设采矿权深部或上部的同类矿产(《矿产资源分类细目》的类别,普通建筑用砂石土类矿产除外),需要利用原有生产系统进一步勘查开采矿产资源的,向同一主体出让探矿权
理由:按照《自然资源部关于深化矿产资源管理改革若干事项的意见》(自然资规〔****〕*号)规定,该矿申请协议出让原采矿权平面范围垂直投影深部煤炭资源,具体情形符合“基于矿山安全生产和矿业权设置合理性等要求,需要利用原有生产系统进一步勘查开采矿产资源(普通建筑用砂石土类矿产除外)的,已设采矿权深部或上部、周边、零星分散资源,以及属同一主体相邻矿业权之间距离***米左右的夹缝区域,可以协议方式出让探矿权或采矿权。”的规定,由四川川煤华荣能源有限责任公司申请协议出让其持有的四川川煤石洞沟煤业有限责任公司采矿权平面范围垂直投影深部煤炭资源采矿权。
五、对公示内容提出异议的方式及途径
公示时间:****年**月**日至****年**月**日
如对本公示内容存在异议,请在公示期内以书面材料形式送达四川省自然资源厅。联系电话:***—********。
本公示在自然资源部门户网站同时发布。
四川省自然资源厅
****年**月**日
[打印]
[关闭]


